اسأل الساحر #341
ما هو العدد المتوقع لرميات حجري نرد لتحقيق مجموع من ٢ إلى ١٢؟ يُرجى استخدام حساب التفاضل والتكامل لحل مشكلتك.
تذكر أن احتمال الحصول على مجموع ٢ هو ١/٣٦. في عدد t من الرميات، تكون الرميات المتوقعة بمجموع ٢ هي t/٣٦. افترض أن الوقت بين الرميات موزع بشكل أسّي بمتوسط t/٣٦. يوضح توزيع بواسون أن احتمال عدم وجود رميات بمجموع ٢ هو exp(-t/٣٦).
تذكر أن احتمال الحصول على مجموع 3 هو 2/36 = 1/18. وبنفس المنطق، يُخبرنا توزيع بواسون أن احتمال عدم الحصول على مجموع 3 هو exp(-t/18).
تذكر أن احتمال الحصول على مجموع ٤ هو ٣/٣٦ = ١/١٢. وبنفس المنطق، يُخبرنا توزيع بواسون أن احتمال عدم الحصول على مجموع ٤ هو exp(-t/١٢).
تذكر أن احتمال الحصول على مجموع ٥ هو ٤/٣٦ = ١/٩. وبنفس المنطق، يُخبرنا توزيع بواسون أن احتمال عدم الحصول على مجموع ٥ هو exp(-t/9).
تذكر أن احتمال الحصول على مجموع 6 هو 5/36. وبنفس المنطق، يُخبرنا توزيع بواسون أن احتمال عدم الحصول على مجموع 6 هو exp(-5t/36).
تذكر أن احتمال الحصول على مجموع ٧ هو ٦/٣٦ = ١/٦. وبنفس المنطق، يُخبرنا توزيع بواسون أن احتمال عدم الحصول على مجموع ٧ هو exp(-t/6).
احتمالات 8 إلى 12 هي نفسها احتمالات 2 إلى 6.
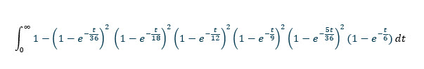
وبالتالي، فإن احتمال أن يتم طرح كل إجمالي في وحدات t مرة واحدة على الأقل هو:
(1-exp(-t/36))^2 * (1-exp(-t/18))^2 * (1-exp(-t/12))^2 * (1-exp(-t/9))^2 * (1-exp(-5t/36))^2 * (1-exp(-t/6))
احتمال عدم حدوث أي رمية إجمالية على الأقل في وحدات زمنية t هو 1 - (1-exp(-t/36))^2 * (1-exp(-t/18))^2 * (1-exp(-t/12))^2 * (1-exp(-t/9))^2 * (1-exp(-5t/36))^2 * (1-exp(-t/6))
للحصول على الوقت المتوقع بدون مجموع واحد على الأقل نقوم بدمج الدالة أعلاه من 0 إلى ما لا نهاية.

سوف تقوم الآلة الحاسبة التكاملية (أوصي بهذه الآلة ) بحل هذه المسألة بسهولة على النحو التالي: 769767316159/12574325400 = تقريبًا 61.2173847639572 لفة.
تم طرح هذا السؤال ومناقشته في منتدياتي في Wizard of Vegas .
ألقِ حجري نرد، أحمر وأزرق، مرارًا وتكرارًا. سجّل مجموع رميات كل حجر نرد. ما هو العدد المتوقع للأدوار حتى يتساوى المجموعان؟
من الصعب تفسير كون الإجابة هي اللانهاية. ومما يزيد الأمر تعقيدًا وتناقضًا، أن احتمال تساوي المجموعين هو 1.
يوضح الجدول التالي احتمالية أن تكون الإجماليات هي نفسها للمرة الأولى بعد 1 إلى 16 لفة.
احتمالات تساوي المجموع في المرة الأولى
| لفات | احتمال |
|---|---|
| 1 | 0.166667 |
| 2 | 0.112654 |
| 3 | 0.092850 |
| 4 | 0.080944 |
| 5 | 0.072693 |
| 6 | 0.066539 |
| 7 | 0.061722 |
| 8 | 0.057819 |
| 9 | 0.054573 |
| 10 | 0.051819 |
| 11 | 0.049443 |
| 12 | 0.047367 |
| 13 | 0.045532 |
| 14 | 0.043895 |
| 15 | 0.042423 |
| 16 | 0.041089 |
يُظهر برنامج Excel ملاءمة قريبة جدًا لهذا المنحنى وهي y = 0.1784*x-1.011، حيث x = عدد اللفات وy = الاحتمال.
مجموع هذه السلسلة اللانهائية هو اللانهاية.
تم طرح هذا السؤال ومناقشته في منتدياتي في Wizard of Vegas .
ما هي قيمة الجائزة الكبرى في لعبة بنسلفانيا كاش 5 ؟ يمكنك تجاهل الضرائب وتقاسم الجائزة الكبرى.
أولاً، لنستعرض القواعد. قيمة الرهان دولاران. تعتمد اللعبة على سحب خمس كرات من أصل 43. إليك جدول الأرباح:
- المباراة 5 = الجائزة الكبرى
- الرياضيات 4 = 200 دولار
- المباراة 3 = 10 دولارات
- المباراة 2 = 2 دولار
بالإضافة إلى ذلك، يحصل اللاعب على ما أفترض أنه بطاقة كشط. احتمال فوزها بـ 6 دولارات هو 1/80، واحتمال فوزها بـ 2 دولار هو 1/5.
يوضح الجدول التالي تحليلي للعبة الأساسية. ويُظهر أن قيمة الحصول على رقمين إلى أربعة أرقام هي 0.287784 دولار.
جدول إرجاع النقد 5
| يمسك | يدفع | التركيبات | احتمال | يعود |
|---|---|---|---|---|
| 5 | الفوز بالجائزة الكبرى | 1 | 0.000001 | ؟ |
| 4 | 200 | 190 | 0.000197 | 0.039477 |
| 3 | 10 | 7030 | 0.007303 | 0.073032 |
| 2 | 2 | 84360 | 0.087638 | 0.175276 |
| 1 | 0 | 369075 | 0.383416 | 0.000000 |
| 0 | 0 | 501942 | 0.521445 | 0.000000 |
| المجموع | 0 | 962598 | 1.000000 | 0.287784 |
يوضح الجدول التالي تحليلي لميزة "الربح الفوري من كويك كاش". تُظهر الخلية اليمنى السفلية قيمة 0.475 دولار أمريكي.
جدول الإرجاع النقدي الفوري
| يمسك | يدفع | احتمال | يعود |
|---|---|---|---|
| 6 | 1 | 0.012500 | 0.075000 |
| 2 | 16 | 0.200000 | 0.400000 |
| 0 | 63 | 0.787500 | 0.000000 |
| المجموع | 80 | 1.000000 | 0.475000 |
وبالتالي، فإن قيمة الجوائز غير التقدمية هي 0.287784 دولار + 0.475000 دولار = 0.762784 دولار.
ليكن j مساويًا لقيمة الجائزة الكبرى عند التعادل. إذًا:
2 = 0.762784 + ج × (1/962598)
1.237216 = ج × (1/962598)
ج = 1.237216 × 962598
ج = 1,190,941.95 دولارًا.
معدل العائد الإجمالي هو 0.381392 بالإضافة إلى 0.051943 لكل 100000 دولار في الجائزة الكبرى.
كما هو مذكور في السؤال، كل هذا يتجاهل الضرائب وتقاسم الجائزة الكبرى.
تم طرح هذا السؤال ومناقشته في منتدياتي في Wizard of Vegas .