اسأل الساحر #422
جدليًا، بافتراض وجود عدد لا نهائي من مجموعات أوراق البلاك جاك، يُسمح بإعادة تقسيم الأوراق لعدد لا نهائي، وسيقسم اللاعب أي زوج. ما هو احتمال أي عدد معين من الأيدي النهائية التي يلعبها اللاعب؟
احتمال إعادة التقسيم إلى n يد هو (combin(2*(n-1),n-1)/n) × (1/13)^(n-1) × (12/13)^n. لمزيد من المعلومات حول هذا المصطلح الأول، والذي احتجتُ إلى بعض المساعدة فيه، ابحث عن الأعداد الكاتالونية .
يوضح الجدول التالي احتمالية ظهور يد نهائية من ١ إلى ٢٠ يدًا. عمود الثواني هو عدد "الأشجار"، وهو الرقم الكاتالوني في العبارة أعلاه.
| اليدين | الأشجار | احتمال |
|---|---|---|
| 1 | 1 | 0.9230769230769 |
| 2 | 1 | 0.0655439235321 |
| 3 | 2 | 0.0093080128093 |
| 4 | 5 | 0.0016523099661 |
| 5 | 14 | 0.0003285065968 |
| 6 | 42 | 0.0000699777366 |
| 7 | 132 | 0.0000156163334 |
| 8 | 429 | 0.0000036037693 |
| 9 | 1430 | 0.0000008529631 |
| 10 | 4862 | 0.0000002059225 |
| 11 | 16796 | 0.0000000505114 |
| 12 | 58786 | 0.0000000125531 |
| 13 | 208012 | 0.0000000031540 |
| 14 | 742900 | 0.0000000007998 |
| 15 | 2674440 | 0.0000000002045 |
| 16 | 9694845 | 0.0000000000526 |
| 17 | 35357670 | 0.0000000000136 |
| 18 | 129644790 | 0.0000000000035 |
| 19 | 477638700 | 0.0000000000009 |
| 20 | 1767263190 | 0.0000000000002 |
سمعتُ أن هناك عددًا لا نهائيًا من ثلاثيات فيثاغورس. هل من طريقة صيغية لإيجادها؟
نعم، هناك عدد لا نهائي من ثلاثيات فيثاغورس الفريدة! لمن لا يعرف هذا المصطلح، فهي مثلثات قائمة حيث يكون كل ضلع فيها عددًا صحيحًا. أشهرها هو 3-4-5. للحصول على مجموعة فريدة (أي غير قابلة للاختزال)، اختر أي قيمة صحيحة لثلاثية فيثاغورس a وb، حيث a < b، وواحد منها فردي والآخر زوجي.
- الساق 1 = ب 2 - أ 2
- الساق 2 = 2ab
- الوتر = أ 2 + ب 2
يوضح الجدول التالي جميع الثلاثيات فيثاغورس غير القابلة للاختزال حيث تكون جميع الأضلاع 101 أو أقل.
| أ،ب | المرحلة 1 | المرحلة الثانية | وتر |
|---|---|---|---|
| 1,2 | 3 | 4 | 5 |
| 1,4 | 8 | 15 | 17 |
| 1,6 | 12 | 35 | 37 |
| 1,8 | 16 | 63 | 65 |
| 1,10 | 20 | 99 | 101 |
| 2,3 | 5 | 12 | 13 |
| 2,5 | 20 | 21 | 29 |
| 2,7 | 28 | 45 | 53 |
| 2,9 | 36 | 77 | 85 |
| 3,4 | 7 | 24 | 25 |
| 3,6 | 27 | 36 | 45 |
| 3,8 | 48 | 55 | 73 |
| 4,5 | 9 | 40 | 41 |
| 4,7 | 33 | 56 | 65 |
| 4,9 | 65 | 72 | 97 |
| 5,6 | 11 | 60 | 61 |
| 5,8 | 39 | 80 | 89 |
| 6,7 | 13 | 84 | 85 |
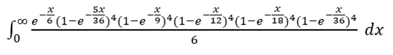
ما هو احتمال الحصول على مجموع كلي، باستخدام نردين، غير السبعة، مرتين على الأقل، قبل الحصول على سبعة؟
الحيلة في أسئلة مثل هذا هي أن الاحتمال هو نفسه إذا كان الوقت بين اللفات يتبع توزيعًا أسيًا بمتوسط 1. في هذه الحالة، يمكن إعطاؤه بالصيغة التالية.

لوضعها في شكل نص: exp(-x/6)*(1-exp(-5x/36))^4*(1-exp(-4x/36))^4*(1-exp(-3x/36))^4*(1-exp(-2x/36))^4*(1-exp(-1x/36))^4/6
لحل مثل هذه التكاملات، أوصي باستخدام حاسبة التكامل هذه.
الجواب هو 7864581698887803455719/10946915593544650625105200 =~ 0.0007184290069364848.